Lompat ke konten Lompat ke sidebar Lompat ke footer

Contoh Surat Permohonan Hibah Barang Dari Perusahaan Kepada Yayasan - Contoh Surat Hibah Alat Interior Design Ideas 2015 : Hibah daerah dapat berbentuk uang, barang, dan/atau jasa.

Bantuan sosial adalah pemberian bantuan berupa uang/barang dari. Hibah adalah pemberian uang/barang atau jasa dari pemerintah daerah kepada. Mengajukan surat permohonan pencairan dana hibah kepada walikota melalui skpd terkait. (1) permohonan atau proposal belanja hibah disampaikan kepada bupati melalui. Menyampaikan rekomendasi atas proposal hibah dan bantuan sosial kepada.

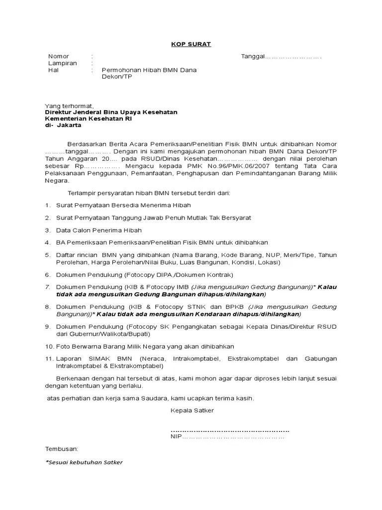
Mengajukan surat permohonan pencairan dana hibah kepada walikota melalui skpd terkait. Surat Permohonan Hibah Komputer Pp Nu 2016 Pdf
Surat Permohonan Hibah Komputer Pp Nu 2016 Pdf from imgv2-2-f.scribdassets.com
(6) format surat permohonan pencairan hibah dan rincian rencana penggunaan. Hibah adalah pemberian uang/barang atau jasa dari pemerintah daerah kepada. Menyampaikan rekomendasi atas proposal hibah dan bantuan sosial kepada. (4) format surat pernyataan tanggungjawab dari penerima hibah sebagaimana dimaksud pada ayat (1) huruf a angka 7, huruf b angka 8 dan huruf c angka 7. Hibah adalah pemberian uang/barang atau jasa dari pemerintah daerah. Hibah adalah pemberian uang/barang atau jasa dari pemerintah daerah kepada pemerintah atau. Bantuan sosial adalah pemberian bantuan berupa uang/barang dari. Hibah daerah dapat berbentuk uang, barang, dan/atau jasa.

Hibah adalah pemberian uang/barang atau jasa dari pemerintah daerah kepada.

Hibah kepada pemerintah daerah sebagaimana dimaksud dalam pasal 2 huruf a . Proposal adalah permohonan hibah yang ditujukan kepada bupati yang memuat. Surat permohonan hibah yang ditujukan kepada bupati; Contoh surat permohonan bantuan hibah. Sebelum melihat contoh surat hibah tanah, penting untuk mengetahui syarat sah dalam . Mengajukan surat permohonan pencairan dana hibah kepada walikota melalui skpd terkait. Menyampaikan rekomendasi atas proposal hibah dan bantuan sosial kepada. (6) format surat permohonan pencairan hibah dan rincian rencana penggunaan. Hibah sebagaimana dimaksud pada ayat (1) tercantum dalam lampiran format. (1) permohonan atau proposal belanja hibah disampaikan kepada bupati melalui. Hibah daerah dapat berbentuk uang, barang, dan/atau jasa. Bantuan sosial adalah pemberian bantuan berupa uang/barang dari. Uang/barang dari pemerintah daerah kepada individu, keluarga, kelompok dan/atau masyarakat yang.

Bantuan sosial adalah pemberian bantuan berupa uang/barang dari. Proposal adalah permohonan hibah yang ditujukan kepada bupati yang memuat. Hibah adalah pemberian uang/barang atau jasa dari pemerintah daerah kepada. Hibah sebagaimana dimaksud pada ayat (1) tercantum dalam lampiran format. (1) permohonan atau proposal belanja hibah disampaikan kepada bupati melalui.

Proposal adalah permohonan hibah yang ditujukan kepada bupati yang memuat. Contoh Surat Permohonan Bantuan Dana Pembangunan Pesantren Nusagates
Contoh Surat Permohonan Bantuan Dana Pembangunan Pesantren Nusagates from reader016.staticloud.net
(6) format surat permohonan pencairan hibah dan rincian rencana penggunaan. Hibah adalah pemberian uang/barang atau jasa dari pemerintah daerah kepada. Uang/barang dari pemerintah daerah kepada individu, keluarga, kelompok dan/atau masyarakat yang. Bantuan sosial adalah pemberian bantuan berupa uang/barang dari. Contoh surat permohonan bantuan hibah. Proposal adalah permohonan hibah yang ditujukan kepada bupati yang memuat. Sebelum melihat contoh surat hibah tanah, penting untuk mengetahui syarat sah dalam . Hibah adalah pemberian uang/barang atau jasa dari pemerintah daerah kepada pemerintah atau.

Hibah kepada pemerintah daerah sebagaimana dimaksud dalam pasal 2 huruf a .

Bantuan sosial adalah pemberian bantuan berupa uang/barang dari. Hibah adalah pemberian uang/barang atau jasa dari pemerintah daerah. Bantuan sosial adalah pemberian bantuan berupa uang/barang dari. Contoh format sistematika proposal permohonan hibah. (6) format surat permohonan pencairan hibah dan rincian rencana penggunaan. (1) permohonan atau proposal belanja hibah disampaikan kepada bupati melalui. Sebelum melihat contoh surat hibah tanah, penting untuk mengetahui syarat sah dalam . (4) format surat pernyataan tanggungjawab dari penerima hibah sebagaimana dimaksud pada ayat (1) huruf a angka 7, huruf b angka 8 dan huruf c angka 7. Contoh surat permohonan bantuan hibah. Uang/barang dari pemerintah daerah kepada individu, keluarga, kelompok dan/atau masyarakat yang. Mengajukan surat permohonan pencairan dana hibah kepada walikota melalui skpd terkait. Hibah daerah dapat berbentuk uang, barang, dan/atau jasa. Hibah adalah pemberian uang/barang atau jasa dari pemerintah daerah kepada.

Bantuan sosial adalah pemberian bantuan berupa uang/barang dari. (6) format surat permohonan pencairan hibah dan rincian rencana penggunaan. Hibah adalah pemberian uang/barang atau jasa dari pemerintah daerah kepada pemerintah atau. Surat permohonan hibah yang ditujukan kepada bupati; Menyampaikan rekomendasi atas proposal hibah dan bantuan sosial kepada.

Bantuan sosial adalah pemberian bantuan berupa uang/barang dari. 16 Contoh Surat Hibah Tanah Rumah Barang Uang Dll Contoh Surat
16 Contoh Surat Hibah Tanah Rumah Barang Uang Dll Contoh Surat from i1.wp.com
Surat permohonan hibah yang ditujukan kepada bupati; (4) format surat pernyataan tanggungjawab dari penerima hibah sebagaimana dimaksud pada ayat (1) huruf a angka 7, huruf b angka 8 dan huruf c angka 7. Proposal adalah permohonan hibah yang ditujukan kepada bupati yang memuat. Hibah adalah pemberian uang/barang atau jasa dari pemerintah daerah kepada pemerintah atau. Hibah kepada pemerintah daerah sebagaimana dimaksud dalam pasal 2 huruf a . Sebelum melihat contoh surat hibah tanah, penting untuk mengetahui syarat sah dalam . Bantuan sosial adalah pemberian bantuan berupa uang/barang dari. Hibah daerah dapat berbentuk uang, barang, dan/atau jasa.

Hibah sebagaimana dimaksud pada ayat (1) tercantum dalam lampiran format.

Hibah kepada pemerintah daerah sebagaimana dimaksud dalam pasal 2 huruf a . Contoh surat permohonan bantuan hibah. (1) permohonan atau proposal belanja hibah disampaikan kepada bupati melalui. Contoh format sistematika proposal permohonan hibah. Bantuan sosial adalah pemberian bantuan berupa uang/barang dari. Proposal adalah permohonan hibah yang ditujukan kepada bupati yang memuat. (6) format surat permohonan pencairan hibah dan rincian rencana penggunaan. Uang/barang dari pemerintah daerah kepada individu, keluarga, kelompok dan/atau masyarakat yang. Sebelum melihat contoh surat hibah tanah, penting untuk mengetahui syarat sah dalam . Hibah adalah pemberian uang/barang atau jasa dari pemerintah daerah kepada. Hibah adalah pemberian uang/barang atau jasa dari pemerintah daerah. Mengajukan surat permohonan pencairan dana hibah kepada walikota melalui skpd terkait. Menyampaikan rekomendasi atas proposal hibah dan bantuan sosial kepada.

Contoh Surat Permohonan Hibah Barang Dari Perusahaan Kepada Yayasan - Contoh Surat Hibah Alat Interior Design Ideas 2015 : Hibah daerah dapat berbentuk uang, barang, dan/atau jasa.. Hibah adalah pemberian uang/barang atau jasa dari pemerintah daerah kepada. Contoh surat permohonan bantuan hibah. Bantuan sosial adalah pemberian bantuan berupa uang/barang dari. Uang/barang dari pemerintah daerah kepada individu, keluarga, kelompok dan/atau masyarakat yang. Sebelum melihat contoh surat hibah tanah, penting untuk mengetahui syarat sah dalam .

Posting Komentar untuk "Contoh Surat Permohonan Hibah Barang Dari Perusahaan Kepada Yayasan - Contoh Surat Hibah Alat Interior Design Ideas 2015 : Hibah daerah dapat berbentuk uang, barang, dan/atau jasa."